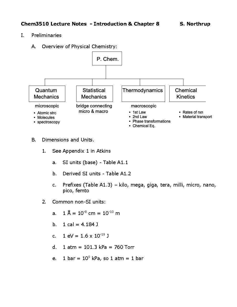
Tennessee Tech University
Departments (83)
-
OTHER
1 Classes - 1 Study Materials -
Arts and Humanities
1 Classes - 4 Study Materials -
Foreign Language
7 Classes - 2 Study Materials -
Math
23 Classes - 17 Study Materials -
Marketing
2 Classes - 1 Study Materials -
Chemical Engineering
12 Classes - 6 Study Materials -
Civil and Environmental Engineering
5 Classes - 5 Study Materials -
Computer Science and Engineering
18 Classes - 7 Study Materials -
Electrical Engineering
10 Classes - 2 Study Materials -
Mechanical Engineering
9 Classes - 11 Study Materials -
French
7 Classes - 3 Study Materials -
Biology
24 Classes - 20 Study Materials -
Chemistry
24 Classes - 48 Study Materials -
Education and Teacher Studies
7 Classes - 3 Study Materials -
Sociology
12 Classes - 8 Study Materials -
History
10 Classes - 9 Study Materials -
Decision Sciences
3 Classes - 1 Study Materials -
Evolution And Ecology
5 Classes - 7 Study Materials -
University
1 Classes - 1 Study Materials -
Business Management
3 Classes - 3 Study Materials -
Physics
22 Classes - 25 Study Materials -
decision sciences and management
2 Classes - 2 Study Materials -
Economics
5 Classes - 1 Study Materials -
Psychology
9 Classes - 3 Study Materials
Classes (644)
-
MUS 1114 | Functional Performance Jazz
Study Materials -
PHED 1300 | Snow Skiing
Study Materials -
Evo 2240 | Evo 2240
1 Study Materials -
THEA 2110 | Play Production
Study Materials -
PHYS 3610 | PHYS 3610
1 Study Materials -
TECH 2650 | Aviation Flight Instruction
Study Materials -
PHED 1310 | Horsemanship
Study Materials -
ARE 1110 | Plant Science Laboratory
Study Materials -
PSY 3020 | Info Literacy in Psychology
Study Materials -
ANTH 2100 | Cultural Ecology
Study Materials -
PE 2430 | First Aid, Safety and CPR
Study Materials -
ART 2610 | Introduction to Fibers
Study Materials -
PHED 1640 | Mountain Bike Skills
Study Materials -
MUS 1081 | Improvisation I
Study Materials -
MT 2110 | Introduction to Music Therapy
Study Materials -
SOC 4911 | GIS Mapping for the Social Sciences
1 Study Materials -
ANSC 2020 | Livestock Management
Study Materials -
PHYS 2109 | Calculus-Based Physics I
Study Materials -
JOUR 2200 | Mass Communication in a Changing Society
Study Materials -
W F S 2993 | Topics
Study Materials -
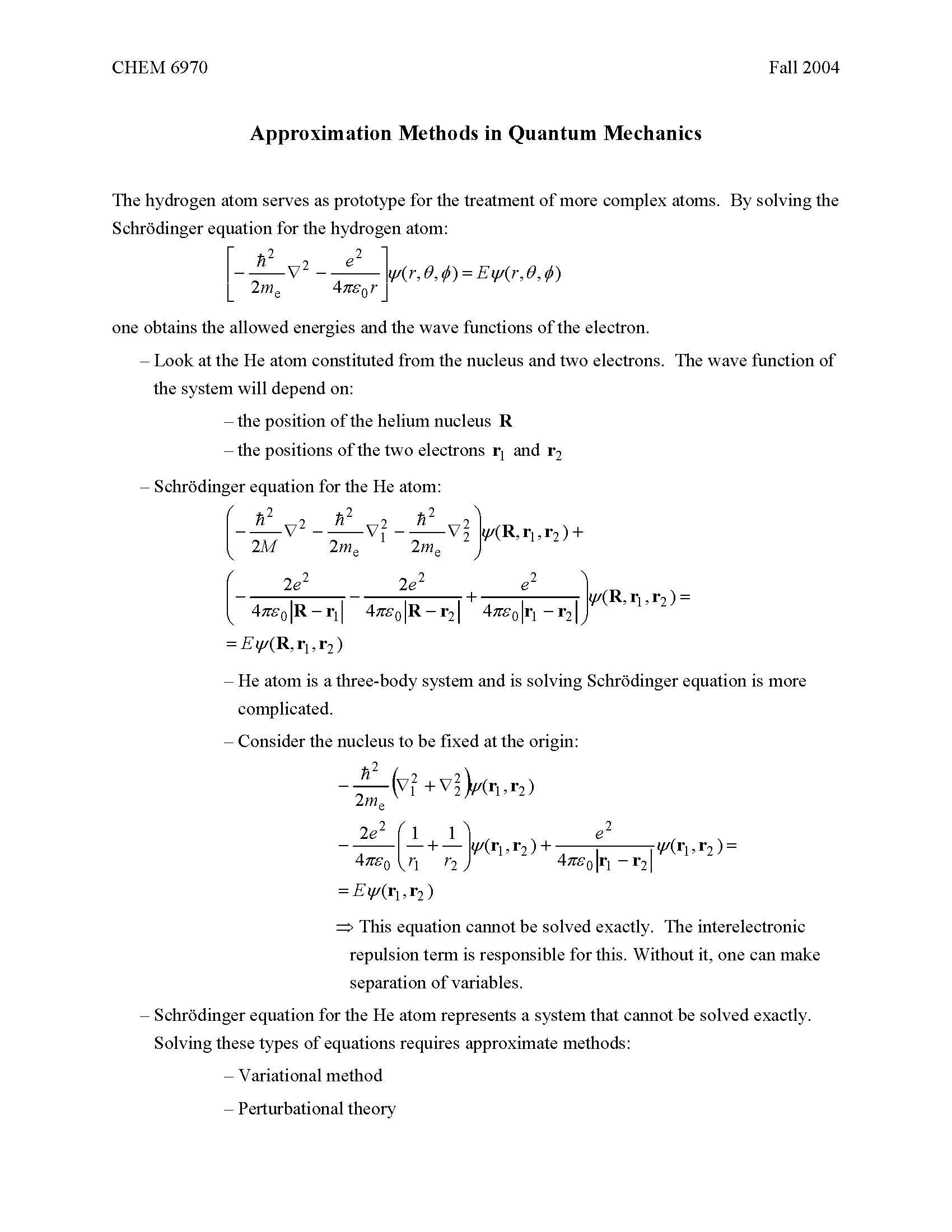
CHEM 3020 | Organic Chemistry
2 Study Materials -
MUS 1035 | Beginning Class Guitar
Study Materials -
THEA 1030 | Introduction to Theatre
Study Materials -
Phy 1970 | Varsity Soccer
Study Materials -
CS 2100 | Introduction to Problem Solving and Computer Programming
Study Materials -
PHED 1011 | Intermediate Tennis
Study Materials -
MUS 1022 | Class Voice Instruction II
Study Materials -
Phy 1940 | Varsity Tennis for Men
Study Materials -
ANSC 1200 | Introductory Animal Science
Study Materials -
CHEM 1500 | First Year Interactions and Advisement
8 Study Materials -
MUS 1112 | Functional Performance Choir
Study Materials -
CFS 2210 | Field Experience: Observation of Young Children
Study Materials -
RUSS 2020 | Intermediate Russian
Study Materials -
PHED 1360 | Slimnastics and Aerobics
Study Materials -
CS 2110 | Data Structures and Algorithms
Study Materials -
DSCI 2810 | Computer Applications in Business
Study Materials -
CJ 2850 | Criminal Law and Procedure
Study Materials -
PHYS 3810 | PHYS 3810
1 Study Materials -
MUS 1062 | Madrigal Singers
Study Materials -
BIOL 2230 | BIOL 2230
1 Study Materials -
His 2020 | American History II
4 Study Materials -
CMTY 2311 | Practicum: Merchandising and Design
Study Materials -
MUS 1031 | Stringed Instrument Class I
Study Materials -
ART 1250 | Introduction to Digital Imaging
Study Materials -
Mat 2110 | Calculus III
6 Study Materials -
SOC 2840 | The Aged in American Society
Study Materials -
SPCH 2800 | Interviewing
Study Materials -
HON 2172 | Honors Leadership Development
Study Materials -
CHE 4131 | Mass Transfer
Study Materials -
POLS 1301 | American Government, Organization
Study Materials





















