Armstrong Atlantic State University
Departments (33)
-
OTHER
1 Classes - 4 Study Materials -
OTHER
1 Classes - 1 Study Materials -
OTHER
1 Classes - 4 Study Materials -
OTHER
1 Classes - 1 Study Materials -
OTHER
1 Classes - 8 Study Materials -
OTHER
1 Classes - 3 Study Materials -
Arts and Humanities
1 Classes - 8 Study Materials -
Engineering and Tech
2 Classes - 4 Study Materials -
Math
1 Classes - 5 Study Materials -
Computer Science and Engineering
5 Classes - 20 Study Materials -
Information technology
2 Classes - 6 Study Materials -
Chemistry
5 Classes - 15 Study Materials -
Geology
1 Classes - 1 Study Materials -
Sociology
1 Classes - 2 Study Materials -
History
2 Classes - 3 Study Materials -
Criminal Justice
1 Classes - 1 Study Materials -
Physical Science
1 Classes - 1 Study Materials -
College of Business
1 Classes - 1 Study Materials -
Physics
4 Classes - 8 Study Materials -
Geospatial Studies
2 Classes - 11 Study Materials -
Nursing and Health Science
1 Classes - 1 Study Materials -
Economics
6 Classes - 13 Study Materials -
Psychology
2 Classes - 11 Study Materials -
Engineering
4 Classes - 3 Study Materials -
Philosophy
1 Classes - 3 Study Materials
Classes (59)
-
CHEM 2300 | CHEM 2300
2 Study Materials -
Python 271002 | python's course
3 Study Materials -
Phi 101 | Intro to Ethics
4 Study Materials -
SOC 1101 | Introductory Sociology
2 Study Materials -
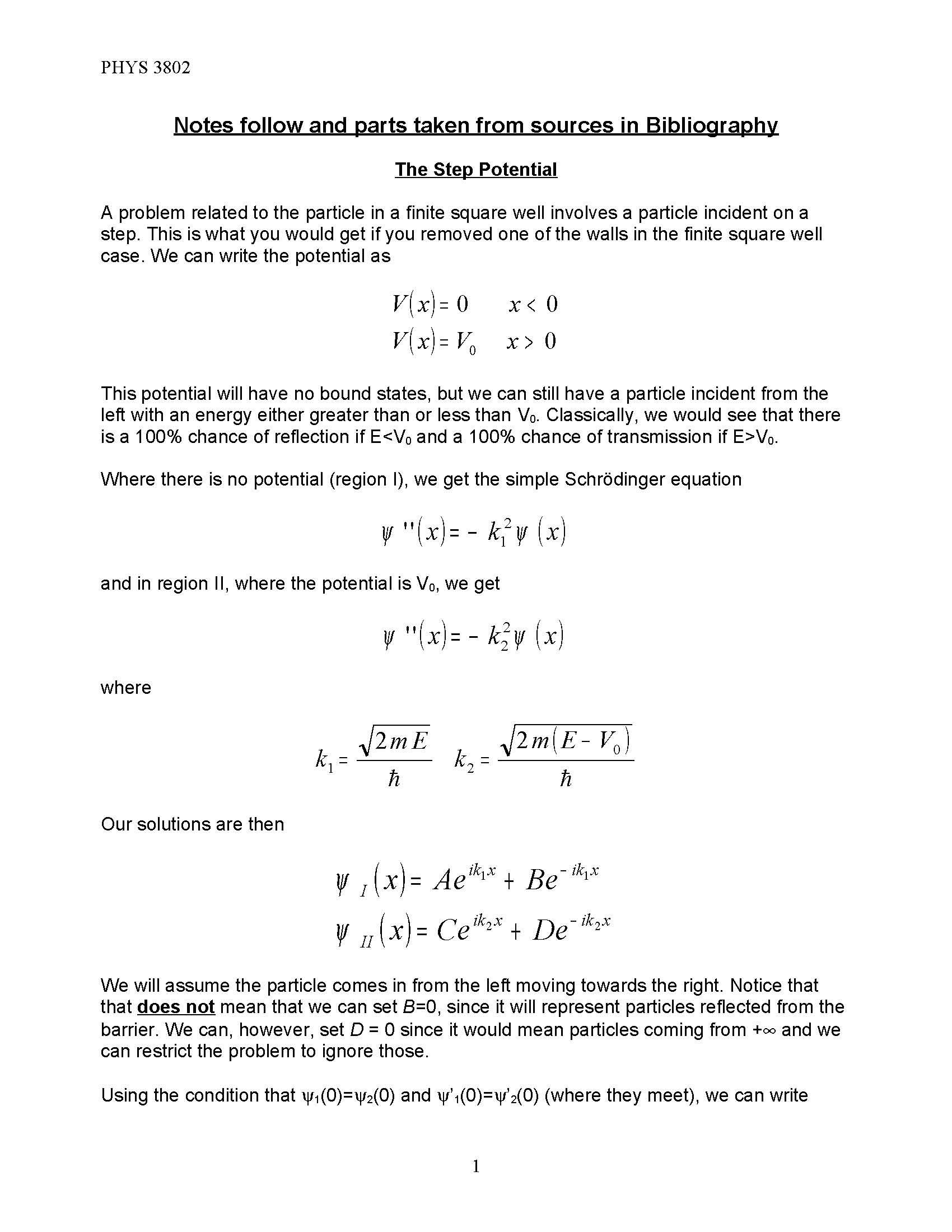
PHYS 3802 | PHYS 3802
1 Study Materials -
BIOL 7823 | Biology for the Masses
Study Materials -
PHSC 1211 | PHSC 1211
1 Study Materials -
Unopar 102 | Tecnologia da Informação
Study Materials -
CS 1890 | Difference between White Hat SEO, Black Hat SEO & Grey Hat SEO with Examples
Study Materials -
IT 4770 | IT 4770
8 Study Materials -
HIST 2001 | Political History of America and Georgia
1 Study Materials -
Engl 1102 | Composition 2
Study Materials -
CHEM 1212 | CHEM 1212
1 Study Materials -
CS 107 | Sql
1 Study Materials -
Education TMS3706 | Business Studies
Study Materials -
PHYS 2212 | PHYS 2212
1 Study Materials -
Education LADEMSJ | Subject didactics Economics and Management Sciences
2 Study Materials -
Nurs 3345 | Adult Health
Study Materials -
BIOL 2010 | Microbiology
4 Study Materials -
Education TMS3708 | Business Studies
Study Materials -
Unopar 101 | Tecnologia da informação
Study Materials -
Business HRMM0058 | Cross Cultural managment
1 Study Materials -
Engl 998 | bilogy
Study Materials -
Eng 2030 | Eng 2030
2 Study Materials -
ECON 101 | Principles of Economics: Microeconomics
8 Study Materials -
ECON 114 | ECON 114
2 Study Materials -
PSY 1101 | PSY 1101
4 Study Materials -
Education Tms3705 | Teaching civil technology senior phase
Study Materials -
PHYS 2211 | PHYS 2211
2 Study Materials -
ECON 301 | Mpa
1 Study Materials -
PSY 3280 | Abnormal Psychology
1 Study Materials -
IT 1110 | Introduction to Informatics
4 Study Materials -
BIOL 102 | Intro to biology
Study Materials -
CHEM 1151 | CHEM 1151
2 Study Materials -
CHEM 1211 | Principles of Chemistry
9 Study Materials -
NURS 3312 | Pharmocology
2 Study Materials -
GEO 412 | INTODUCATION TO ADVANCED PHYSICAL PLANNING
1 Study Materials -
Oython 101 | How to get http response in oython
1 Study Materials -
Mat 2200 | Mat 2200
4 Study Materials -
CHEM 3300 | CHEM 3300
1 Study Materials -
ECON 3535 | Mental Health
2 Study Materials -
SNS 303 | Intro to Physical Therapy
Study Materials -
Art 101 | Principles of Economics: Microeconomics
3 Study Materials -
CS 1301 | CS 1301
3 Study Materials -
GEOL 2010 | GEOL 2010
1 Study Materials -
Eng 1371 | Eng 1371
2 Study Materials -
BUS 2011 | Intro to Business
3 Study Materials -
GEO 313 | INTRO TO HYDROLOGY
Study Materials -
Eng 152 | Electricity and magnetism
1 Study Materials -
HIST 1100 | Political History of Georgia and the United States
2 Study Materials






























