Christian Brothers University
Departments (21)
-
Math
11 Classes - 7 Study Materials -
Biology
9 Classes - 27 Study Materials -
History
1 Classes - 1 Study Materials -
Civil Engineering
1 Classes - 2 Study Materials -
Physics
8 Classes - 11 Study Materials -
Science and Math
1 Classes - 1 Study Materials -
Natural science
1 Classes - 2 Study Materials -
Philosophy
1 Classes - 2 Study Materials
Classes (48)
-
PHYS 381 | PHYS 381
1 Study Materials -
BIOL 112 | BIOL 112
4 Study Materials -
Mat 131 | Mat 131
2 Study Materials -
PHYS 353 | PHYS 353
2 Study Materials -
Mat 105 | Mat 105
2 Study Materials -
Soc 10544 | Introduction to Sociology
Study Materials -
PHYS 251 | PHYS 251
1 Study Materials -
Eng 211 | Intro to Literature
Study Materials -
BIOL 321 | Microbiology
3 Study Materials -
Econ 214 | Principles of Microeconomics
Study Materials -
PHYS 201 | PHYS 201
1 Study Materials -
Biology 421 | Cellular/Microbiology
Study Materials -
Mat 232 | Calculus III
1 Study Materials -
Math 117 | Precalculus
1 Study Materials -
PSY 225 | Biological Psychology
Study Materials -
ECE 101 | Intro to Engineering Problem Solving
Study Materials -
BIOL 111 | BIOL 111
5 Study Materials -
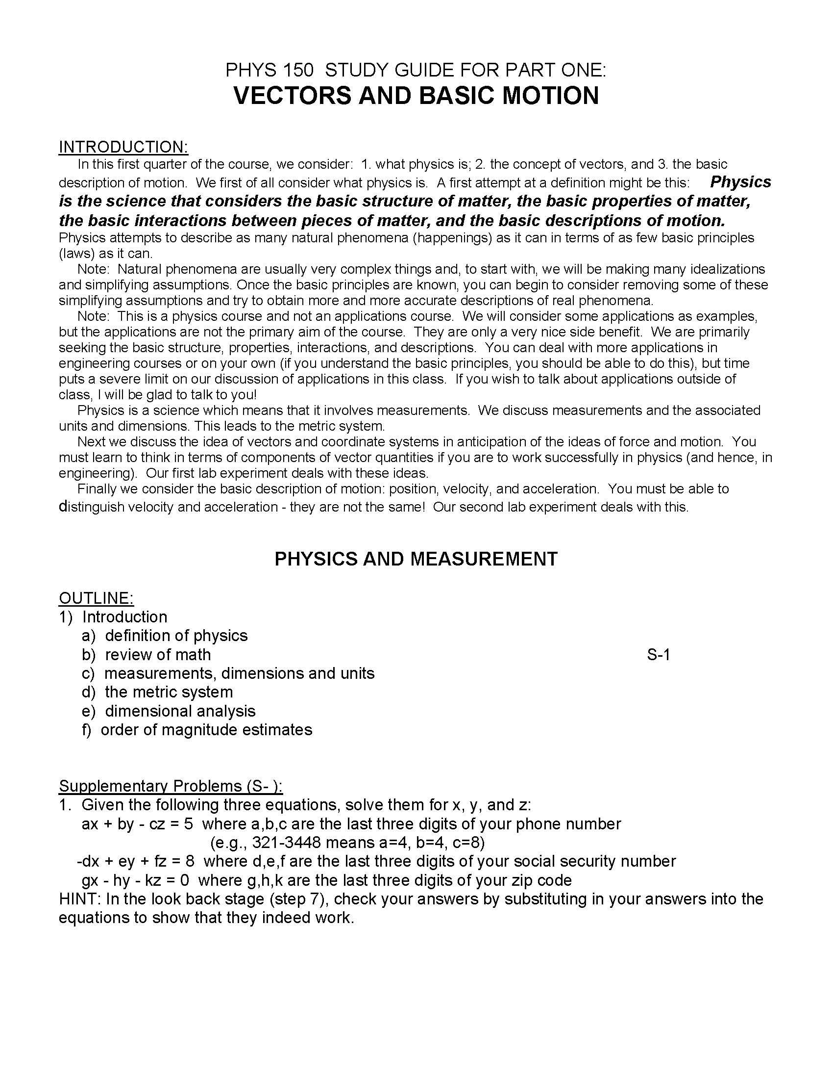
PHYS 150 | PHYS 150
2 Study Materials -
PSYC 105 H | General Psychology
Study Materials -
BLAW 301 | Business Law 1
Study Materials -
ART 316 | Typography
Study Materials -
PHYS 202 | PHYS 202
1 Study Materials -
BIOL 216 | BIOL 216
6 Study Materials -
Hist 151 | American Society to 1877
4 Study Materials -
CS 112 | Computers in Problem Solving
Study Materials -
Mat 301 | Geometry / History of Math
Study Materials -
BIOL 370 | Toxicology
1 Study Materials -
PHYS 252 | PHYS 252
2 Study Materials -
PHYS 380 | PHYS 380
1 Study Materials -
PHIL 220 | Contemporary Moral Issues
Study Materials -
BIOL 107 | BIOL 107
3 Study Materials -
ECE 483 | Robotics
Study Materials -
BIOL 346 | BIOL 346
2 Study Materials -
Mat 401 | Linear Algebra
Study Materials -
PSYC 105 H | General Psychology
Study Materials -
Mat 103 | Fundamentals of Algebra
1 Study Materials -
Mat 308 | Statistics
Study Materials -
ENGL 221 | Survey of British Lit I
Study Materials -
Mat 413 | Complex Analysis
Study Materials -
BIOL 465 | BIOL 465
1 Study Materials -
Phi 391 | Phi 391
2 Study Materials -
REL 230 | Christian Ethics
Study Materials -
NSCI 111 | NSCI 111
2 Study Materials -
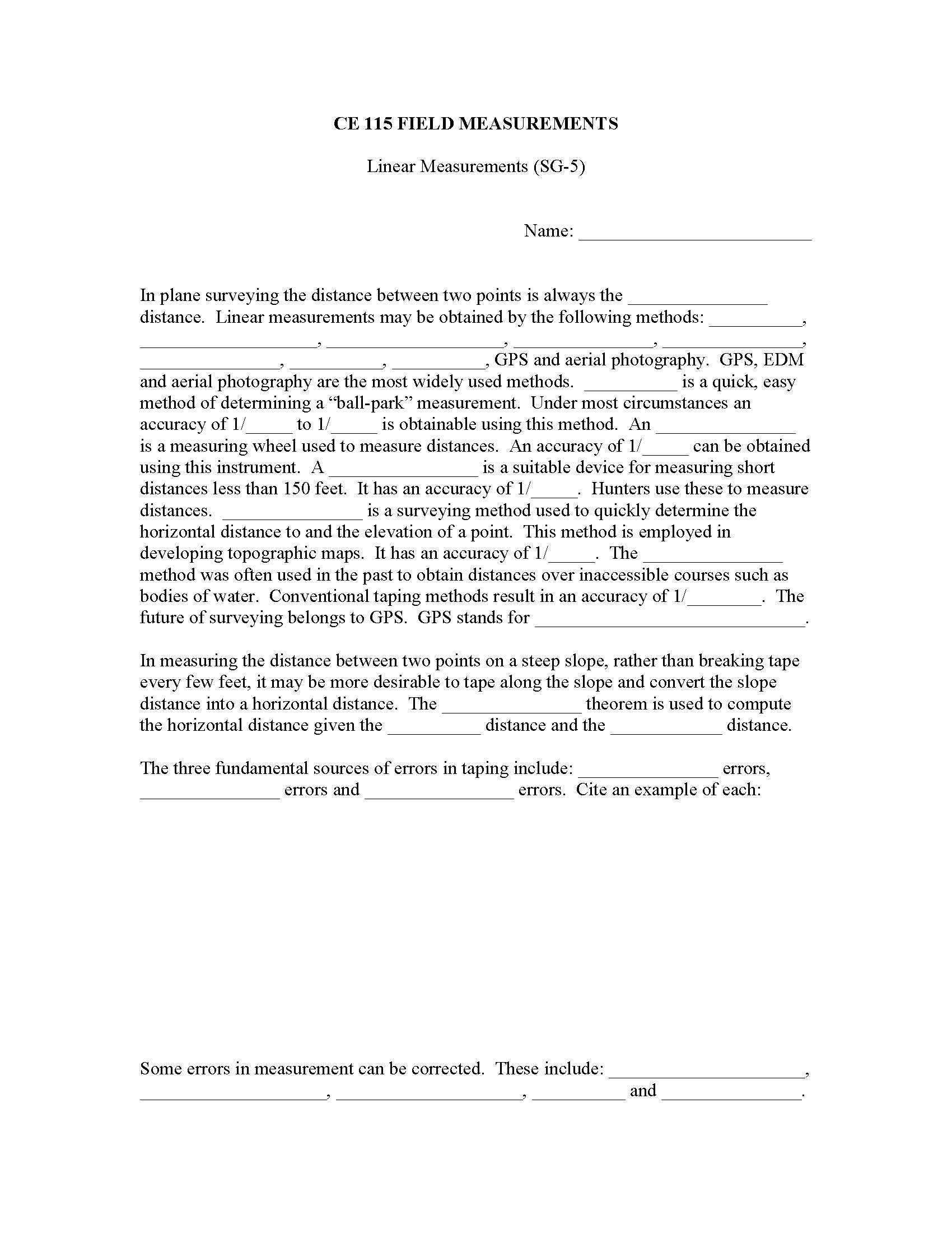
CE 115 | CE 115
2 Study Materials -
BIOL 464 | BIOL 464
2 Study Materials -
Mat 308 | Mat 308
1 Study Materials -
Mat 431 | Complex Analysis
Study Materials -
Mat 10162 | Statistics
Study Materials





