Motlow State Community College
Departments (8)
-
OTHER
1 Classes - 6 Study Materials -
Science
2 Classes - 24 Study Materials -
Biology
8 Classes - 18 Study Materials -
History
1 Classes - 1 Study Materials -
Mathematics Education
1 Classes - 1 Study Materials
Classes (16)
-
PSYC 2120 | Social Psychology
Study Materials -
BIOL 119 | BIOL 119
1 Study Materials -
BIOL 2020 | BIOL 2020
2 Study Materials -
ENGL 2030 82796 | Experience of Literature
Study Materials -
ENGL 2045 | Introduction to Literature
Study Materials -
BIOL 1120 | General Biology II
Study Materials -
Art 1035 | Intro to art
12 Study Materials -
His 2010 | His 2010
1 Study Materials -
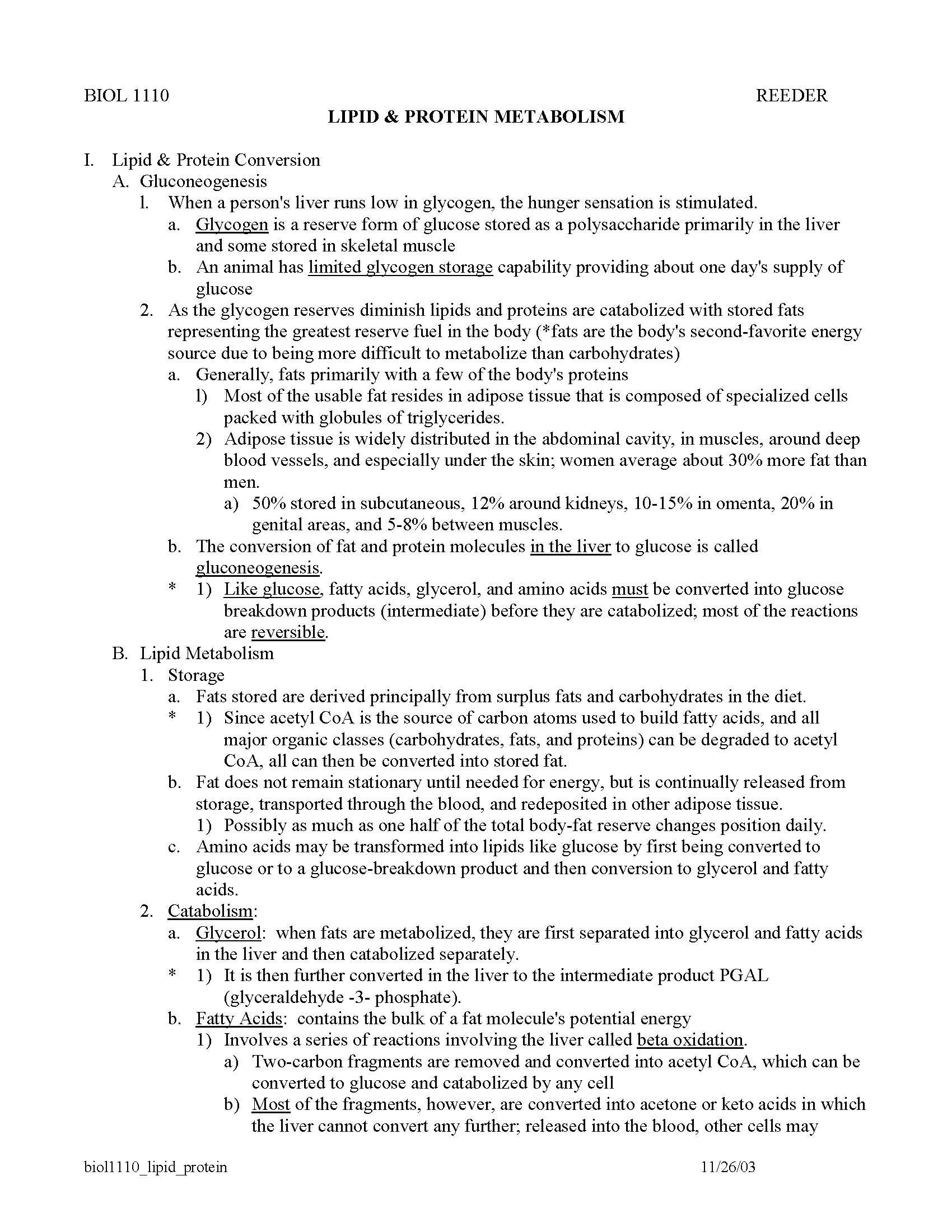
BIOL 1110 | BIOL 1110
6 Study Materials -
BIOL 1110 | General Biology I
Study Materials -
Econ 2100 | Macroeconomics
6 Study Materials -
Art 1035 | Introduction to art
12 Study Materials -
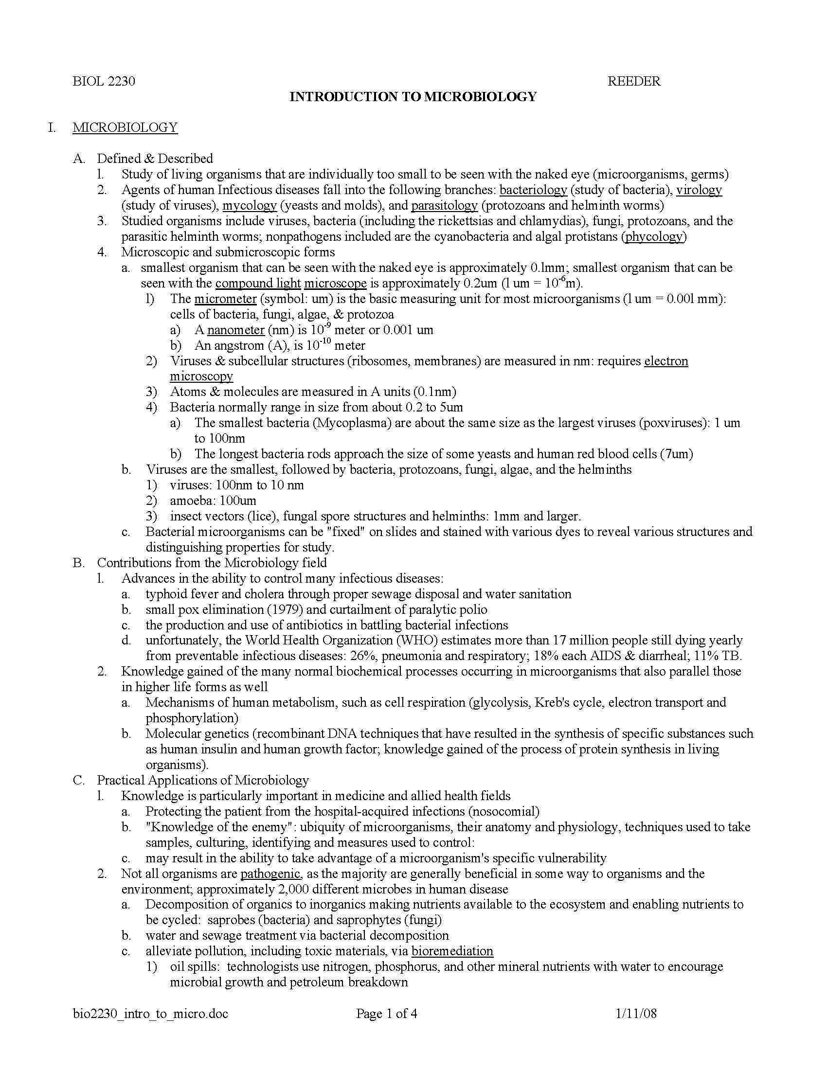
BIOL 2230 | BIOL 2230
4 Study Materials -
MATH 0800 | MATH 0800
1 Study Materials -
BIOL 1120 | General Biology II
4 Study Materials -
BIOL 2010 | BIOL 2010
1 Study Materials
Study Materials (31)
Human anatomy & physiology ii (Biology)
BIOL 2020
Motlow State Community College
7 pages | Fall 2015
General biology i lecturelab (Biology)
BIOL 1110
Motlow State Community College
10 pages | Fall 2015
Human anatomy & physiology ii (Biology)
BIOL 2020
Motlow State Community College
4 pages | Fall 2015
General biology i lecturelab (Biology)
BIOL 1110
Motlow State Community College
19 pages | Fall 2015











