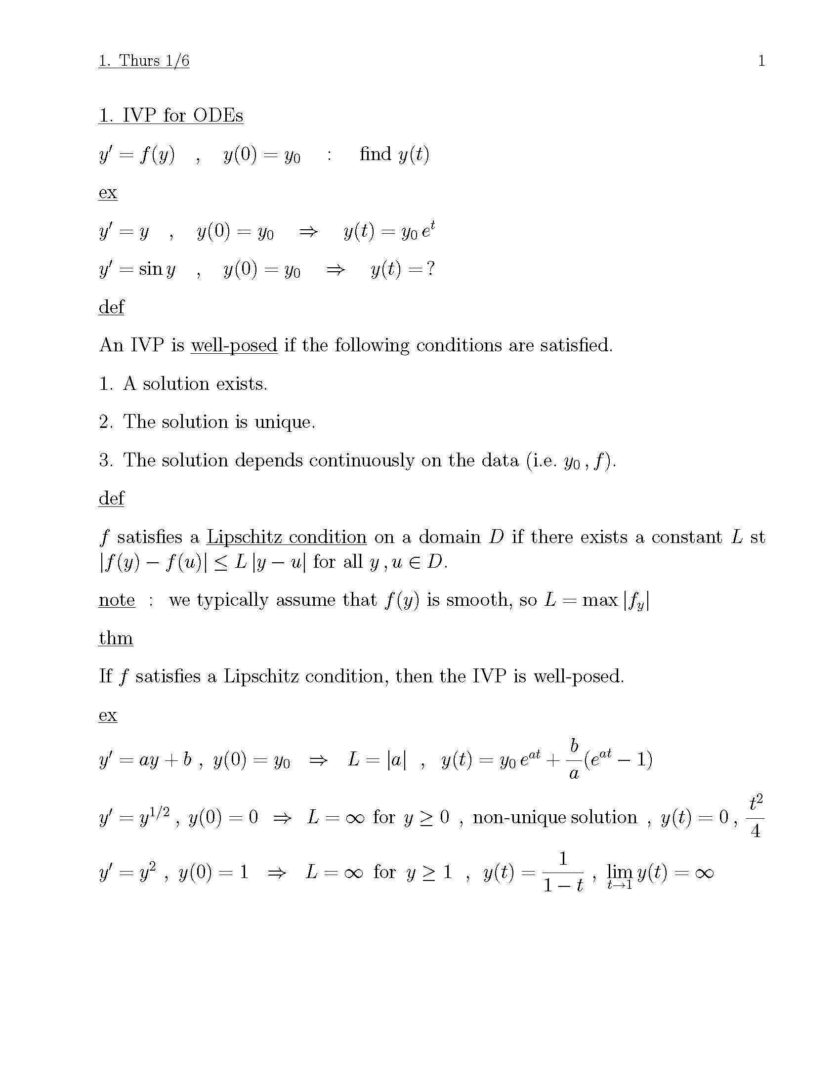
University of Michigan
Departments (202)
-
OTHER
2 Classes - 4 Study Materials -
OTHER
1 Classes - 5 Study Materials -
OTHER
1 Classes - 1 Study Materials -
OTHER
1 Classes - 1 Study Materials -
OTHER
1 Classes - 2 Study Materials -
OTHER
1 Classes - 2 Study Materials -
OTHER
1 Classes - 1 Study Materials -
OTHER
3 Classes - 26 Study Materials -
OTHER
1 Classes - 1 Study Materials -
OTHER
1 Classes - 8 Study Materials -
OTHER
1 Classes - 6 Study Materials -
OTHER
1 Classes - 16 Study Materials -
OTHER
1 Classes - 2 Study Materials -
OTHER
2 Classes - 2 Study Materials -
OTHER
1 Classes - 1 Study Materials -
OTHER
1 Classes - 5 Study Materials -
OTHER
6 Classes - 6 Study Materials -
OTHER
2 Classes - 1 Study Materials -
OTHER
7 Classes - 1 Study Materials -
OTHER
1 Classes - 1 Study Materials -
OTHER
2 Classes - 1 Study Materials -
OTHER
2 Classes - 1 Study Materials -
OTHER
1 Classes - 2 Study Materials -
OTHER
1 Classes - 7 Study Materials -
OTHER
2 Classes - 2 Study Materials -
Arts and Humanities
4 Classes - 2 Study Materials -
Business
3 Classes - 3 Study Materials -
Business
1 Classes - 1 Study Materials -
Business
4 Classes - 6 Study Materials -
Engineering and Tech
5 Classes - 4 Study Materials -
Foreign Language
3 Classes - 1 Study Materials -
Math
4 Classes - 80 Study Materials -
Math
2 Classes - 29 Study Materials -
Math
1 Classes - 17 Study Materials -
Math
35 Classes - 55 Study Materials -
Math
3 Classes - 52 Study Materials -
Science
6 Classes - 9 Study Materials -
Art
2 Classes - 1 Study Materials -
Marketing
1 Classes - 1 Study Materials -
Aerospace Engineering
4 Classes - 3 Study Materials -
Chemical Engineering
3 Classes - 3 Study Materials -
Civil and Environmental Engineering
5 Classes - 36 Study Materials -
Computer Science and Engineering
6 Classes - 9 Study Materials -
Electrical Engineering
2 Classes - 16 Study Materials -
Industrial Engineering
13 Classes - 15 Study Materials -
Information technology
2 Classes - 1 Study Materials -
Mechanical Engineering
3 Classes - 4 Study Materials -
German
2 Classes - 1 Study Materials -
Italian
3 Classes - 3 Study Materials -
Russian
2 Classes - 2 Study Materials -
Spanish
5 Classes - 7 Study Materials -
Biochemistry
3 Classes - 6 Study Materials -
Biology
1 Classes - 4 Study Materials -
Biology
10 Classes - 13 Study Materials -
Chemistry
12 Classes - 88 Study Materials -
Environmental Science
2 Classes - 6 Study Materials -
Environmental Science
4 Classes - 2 Study Materials -
Geology
2 Classes - 1 Study Materials -
Physiology
1 Classes - 2 Study Materials -
Education and Teacher Studies
2 Classes - 2 Study Materials -
International Studies
1 Classes - 13 Study Materials -
Political Science
15 Classes - 10 Study Materials -
Social Work
4 Classes - 3 Study Materials -
Sociology
4 Classes - 8 Study Materials -
Sociology
11 Classes - 53 Study Materials -
History
20 Classes - 36 Study Materials -
Latin
1 Classes - 2 Study Materials -
Radiologic
1 Classes - 1 Study Materials -
Linguistics
2 Classes - 5 Study Materials -
Ecology, Evolution, and Marine Biology
2 Classes - 2 Study Materials -
Physical Science
1 Classes - 1 Study Materials -
Asian
2 Classes - 5 Study Materials -
Medicine
1 Classes - 1 Study Materials -
Engineering Computer Science
33 Classes - 75 Study Materials -
Epidemiology
1 Classes - 1 Study Materials -
Arts
30 Classes - 157 Study Materials -
LANGUAGES & CULTURES OF ASIA
1 Classes - 1 Study Materials -
Athletic Training
9 Classes - 14 Study Materials -
Business Management
5 Classes - 3 Study Materials -
Information
6 Classes - 12 Study Materials -
Physics
14 Classes - 33 Study Materials -
Biomed Engr/Joint
6 Classes - 24 Study Materials -
Management Science and Information Technology
2 Classes - 2 Study Materials -
Engineering All College
3 Classes - 24 Study Materials -
Women's Studies
1 Classes - 1 Study Materials -
Exercise Physiology
1 Classes - 1 Study Materials -
EECS
4 Classes - 1 Study Materials -
Natural science
3 Classes - 4 Study Materials -
Aviation science
1 Classes - 1 Study Materials -
English
5 Classes - 10 Study Materials -
Economics
18 Classes - 78 Study Materials -
Psychology
30 Classes - 47 Study Materials -
Communications
8 Classes - 28 Study Materials -
Engineering
3 Classes - 6 Study Materials -
Engineering
6 Classes - 24 Study Materials -
Philosophy
5 Classes - 4 Study Materials
Classes (541)
-
ENGR 101 | Introduction to Computer Programming
24 Study Materials -
AE 215 | Introduction to Solid Mechanics and Aerospace Structures
Study Materials -
PSYC 335 | PSYC 335
1 Study Materials -
ECON 401 | Intermediate Microeconomics
1 Study Materials -
ARTS 224 | Global Justice
25 Study Materials -
Bio 172 | Introductory Biology - Molecular, Cellular and Developmental
Study Materials -
EEC 485 | Web Databases & Information Systems
Study Materials -
SSCI 159 | From Comedy to Tragedy: The Science of Media and Emotion
Study Materials -
MGMT 501 | MGMT 501
1 Study Materials -
HIST 230 | Problem with the Bible
Study Materials -
ASIANPAM 311 | Asian American Film and Fiction
Study Materials -
FIN 302 | finance
Study Materials -
MGT 304 | management
2 Study Materials -
AT 350 | AT 350
1 Study Materials -
PSYC 125 | Leading Through Writing in Military and Public Service
Study Materials -
ECON 611 | ECON 611
1 Study Materials -
AAS 201 | African American Studies 201
Study Materials -
HIST 285 | HIST 285
3 Study Materials -
SPAN 13797 | RCLANG 194 - Intens Spanish
Study Materials -
STAT 401 | Applied Statistical Methods II
1 Study Materials -
GLOC 202 | Digital Culture
Study Materials -
COMM 251 | Understanding Media Industries
Study Materials -
PHIL 361 | Ethics
Study Materials -
MATH 475 | MATH 475
1 Study Materials -
PSYC 384 | Behvaior and Environment
Study Materials -
PUBHLTH 200 | Health and Society: Introduction to Public Health
1 Study Materials -
ESCI 222 | ESCI 222
1 Study Materials -
CLCIV 375 | Classic Civilization War in Greek and Roman Civilization
Study Materials -
SNRE 574 | Sustainable Energy Systems
Study Materials -
SOC 210 | Elementary Statistics
1 Study Materials -
Pathology 202 | Inflammation
1 Study Materials -
POL 324 | Black American Politics
Study Materials -
PHYS 441 | PHYS 441
1 Study Materials -
PUBHLTH 360 | Community, Culture and Social Justice in Public Health
Study Materials -
CHEM 130 | General Chemistry
9 Study Materials -
BA 212 | Entrepreneurial Business Basics
1 Study Materials -
ECON 617 | ECON 617
1 Study Materials -
PMAP 1000 | Public Speaking
Study Materials -
PSYC 260 | PSYC 260
1 Study Materials -
latin 102 | Elementary Latin II
2 Study Materials -
CHEM 242 | Analysis Lab
Study Materials -
CHEM 216 | Organic Chemistry 2 Lab
1 Study Materials -
MICR 225 | Animal Physiology and Neurobiology
Study Materials -
MICR 301 | Microbiology Lab
Study Materials -
ARTS 203 | Intro to Sports Management
4 Study Materials -
CEE 212 | CEE 212
16 Study Materials -
MATH 513 | MATH 513
1 Study Materials -
CEE 511 | CEE 511
18 Study Materials -
BIOINF 525 | Bioinformatics
Study Materials -
PHYS 406 | PHYS 406
1 Study Materials































