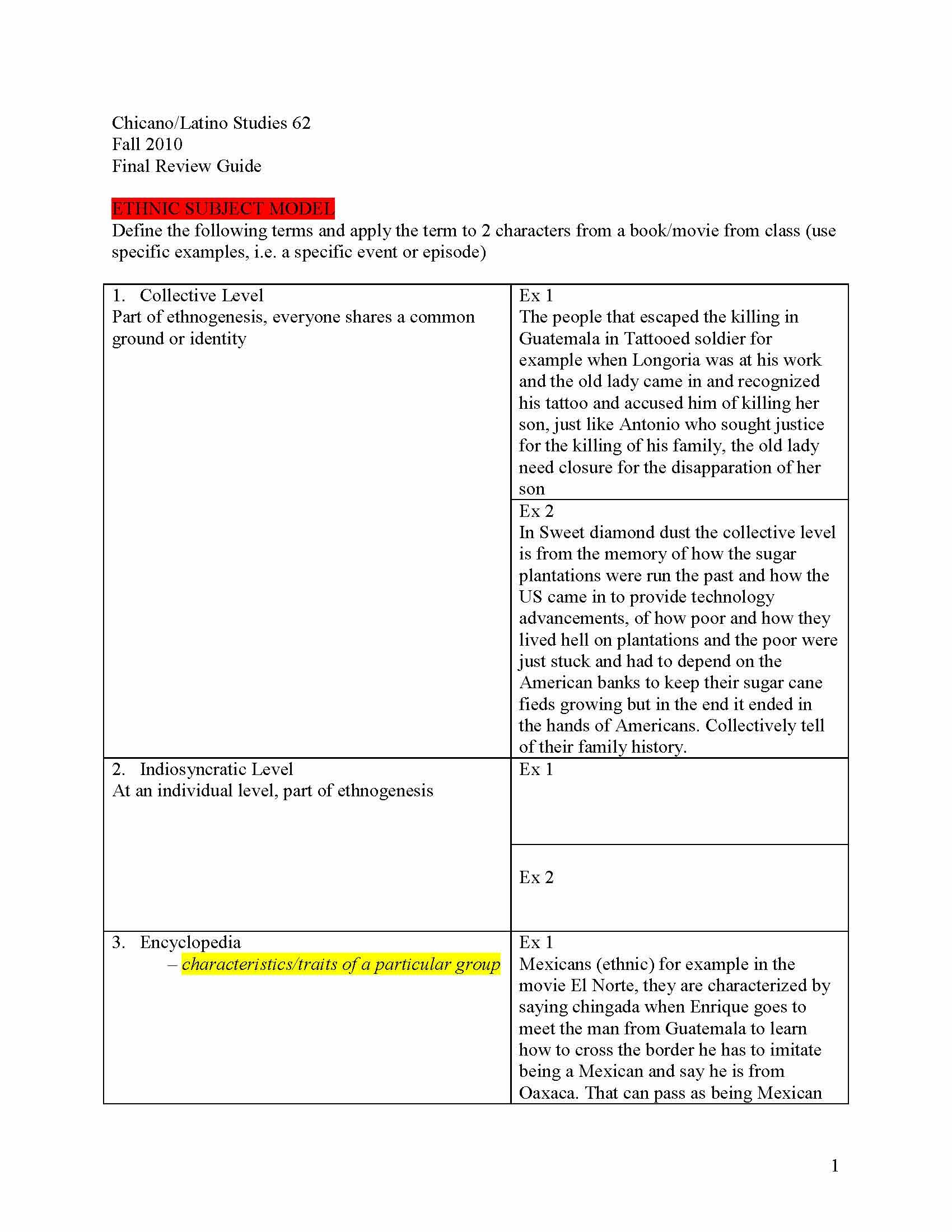
University of California - Irvine
Departments (131)
-
ANESTH
34 Classes - 79 Study Materials -
DEV BIO
1 Classes - 2 Study Materials -
FLM&MDA
5 Classes - 7 Study Materials -
I&C SCI
15 Classes - 2 Study Materials -
Biology
15 Classes - 24 Study Materials -
Philosophy
12 Classes - 6 Study Materials -
Physics
16 Classes - 46 Study Materials -
Public Health
7 Classes - 6 Study Materials -
Italian
2 Classes - 8 Study Materials -
Computer Science and Engineering
15 Classes - 18 Study Materials -
Spanish
1 Classes - 1 Study Materials -
Sociology
23 Classes - 35 Study Materials -
Foreign Language
1 Classes - 1 Study Materials -
Writing
2 Classes - 25 Study Materials -
Political Science
7 Classes - 6 Study Materials -
Biology
11 Classes - 32 Study Materials -
Social Science
8 Classes - 12 Study Materials -
Dance
5 Classes - 4 Study Materials -
University Studies
2 Classes - 6 Study Materials -
Economics
24 Classes - 11 Study Materials -
Religion
2 Classes - 11 Study Materials -
Business Management
4 Classes - 1 Study Materials -
Art
14 Classes - 11 Study Materials -
Biology
3 Classes - 6 Study Materials -
OTHER
12 Classes - 26 Study Materials -
Pharmaceutical Sciences
3 Classes - 3 Study Materials -
Criminology and Criminal Justice
2 Classes - 15 Study Materials -
Math
17 Classes - 71 Study Materials -
Engineering and Tech
5 Classes - 4 Study Materials -
International Studies
3 Classes - 2 Study Materials -
Cognitive Science
7 Classes - 8 Study Materials -
Criminology, Law And Society
12 Classes - 19 Study Materials -
African American Studies
1 Classes - 4 Study Materials -
Chemical Engineering
1 Classes - 1 Study Materials -
Chemical Engr And Materials Science (Grads)
1 Classes - 1 Study Materials -
Psychology
23 Classes - 32 Study Materials -
Vietnamese
1 Classes - 3 Study Materials -
Chicano Latino Studies
2 Classes - 3 Study Materials -
Environmental Health, Science, And Policy
2 Classes - 4 Study Materials -
neurology
1 Classes - 1 Study Materials -
Information
1 Classes - 1 Study Materials -
Biomedical Engineering
1 Classes - 1 Study Materials -
Computer Science and Engineering
10 Classes - 53 Study Materials -
Greek
2 Classes - 1 Study Materials -
Health Care Mba
1 Classes - 1 Study Materials -
Arts
1 Classes - 8 Study Materials -
Education and Teacher Studies
19 Classes - 6 Study Materials -
Chemistry
11 Classes - 50 Study Materials -
BIO SCI
34 Classes - 34 Study Materials -
IN4MATX
11 Classes - 24 Study Materials -
Business
17 Classes - 3 Study Materials -
Sociology
18 Classes - 21 Study Materials -
Psychology
21 Classes - 17 Study Materials -
POL SCI
20 Classes - 24 Study Materials -
Humanities
8 Classes - 16 Study Materials -
Linguistics
5 Classes - 1 Study Materials -
CRM/LAW
20 Classes - 9 Study Materials -
Gender and Sexuality Studies (GNSE)
1 Classes - 11 Study Materials -
History
15 Classes - 4 Study Materials -
Stats
6 Classes - 8 Study Materials -
Math
4 Classes - 2 Study Materials -
Biology
1 Classes - 2 Study Materials -
English
1 Classes - 1 Study Materials -
ICSW
2 Classes - 6 Study Materials -
OTHER
2 Classes - 5 Study Materials -
OTHER
2 Classes - 11 Study Materials -
OTHER
1 Classes - 2 Study Materials -
OTHER
1 Classes - 1 Study Materials -
OTHER
3 Classes - 1 Study Materials -
OTHER
1 Classes - 2 Study Materials -
Biology
5 Classes - 8 Study Materials -
OTHER
5 Classes - 2 Study Materials -
Science and Math
3 Classes - 12 Study Materials -
OTHER
3 Classes - 1 Study Materials
Classes (753)
-
EEC 31 | Intro Digital Syst
Study Materials -
PSCI 156 | Protest, Mvmt & Rev
Study Materials -
ANAT 693 | Extramural/Anatomy
Study Materials -
INT 177 | Cuban Soc & Revolut
Study Materials -
INT 13 | Global Economy
Study Materials -
ENG 60 | Environ Challenges
Study Materials -
SOC SCI 89 | Transfer Edge
Study Materials -
CHEMS 155 | CHEMS 155
1 Study Materials -
IN4 101 | Concept Pgmg Lang I
Study Materials -
Bio Sci 94 | Organisms to Ecosystems
1 Study Materials -
EEC 114 | Engr Data Str & Alg
Study Materials -
PSY 68221 | Effective Graphical Presentation of Data Lab
Study Materials -
EDUC 50 | Issues in K-12 Educ
Study Materials -
CSE 143 | Prncpls Opertng Sys
Study Materials -
PHYS 20 | Intro to Astronomy
Study Materials -
POL SCI 137 | Political Representation Seminar A
Study Materials -
ANAT 503 | Histology
Study Materials -
VIET 2 | VIET 2
3 Study Materials -
HISTORY 50 | Global Crises
Study Materials -
INT 64600 | Geography of the Middle East
Study Materials -
SOCIOL 110 | Research Methods
Study Materials -
PSY BEH 141 | Jumpstart I
Study Materials -
CHEM 107 | Inorganic Chemistry
3 Study Materials -
ANTHRO 2 | Intr Sociocult Anth
13 Study Materials -
UPPP 5 | Intro Plan and Policy
Study Materials -
COGS 131 | COGS 131
1 Study Materials -
CHC 64 | Intro Raceðnicty
Study Materials -
Political Science 143D | East Asian Security
Study Materials -
ENG 176 | Hydrology
Study Materials -
I&C 162 | Modelng &World Bldg
Study Materials -
EDUC 124 | Multicultrl Ed K-12
Study Materials -
ART HIS 114 | Medieval Spain
Study Materials -
ART 1 | Intro to Ess
Study Materials -
GEN 50 | Gender & Feminism
Study Materials -
PH 2 | Public Health 2 Case Studies
Study Materials -
SOCIOL 2 | Glbl & Transntl Soc
Study Materials -
PH 60 | Environmental Health
Study Materials -
SOC 10 | Prob & Stat Soc Sci
Study Materials -
RMS 7 | Basic Statistics
8 Study Materials -
INT 153 | Nations/Ethnicities
Study Materials -
PER 30260 | Persian 2B
Study Materials -
FLM&MDA 101 | The Sound Era I
Study Materials -
PSCI 31 | Intro Politcal Thry
Study Materials -
ANE 124 | Math 124
2 Study Materials -
Lifespan Development 101 | Lifespan Developmental Psychology
2 Study Materials -
ANTHRO 2 | ANTHRO Anthro 2A
3 Study Materials -
Math 44110 | Math 2A
Study Materials -
OTH 1 | Intro Biomed Engr
Study Materials -
PSY 101 | Life Span Dev Psych
Study Materials -
CRM/LAW 100 | Inequality and Crime
Study Materials



































