Idaho State University
Departments (126)
-
OTHER
1 Classes - 1 Study Materials -
OTHER
1 Classes - 1 Study Materials -
Math
46 Classes - 17 Study Materials -
Art
70 Classes - 1 Study Materials -
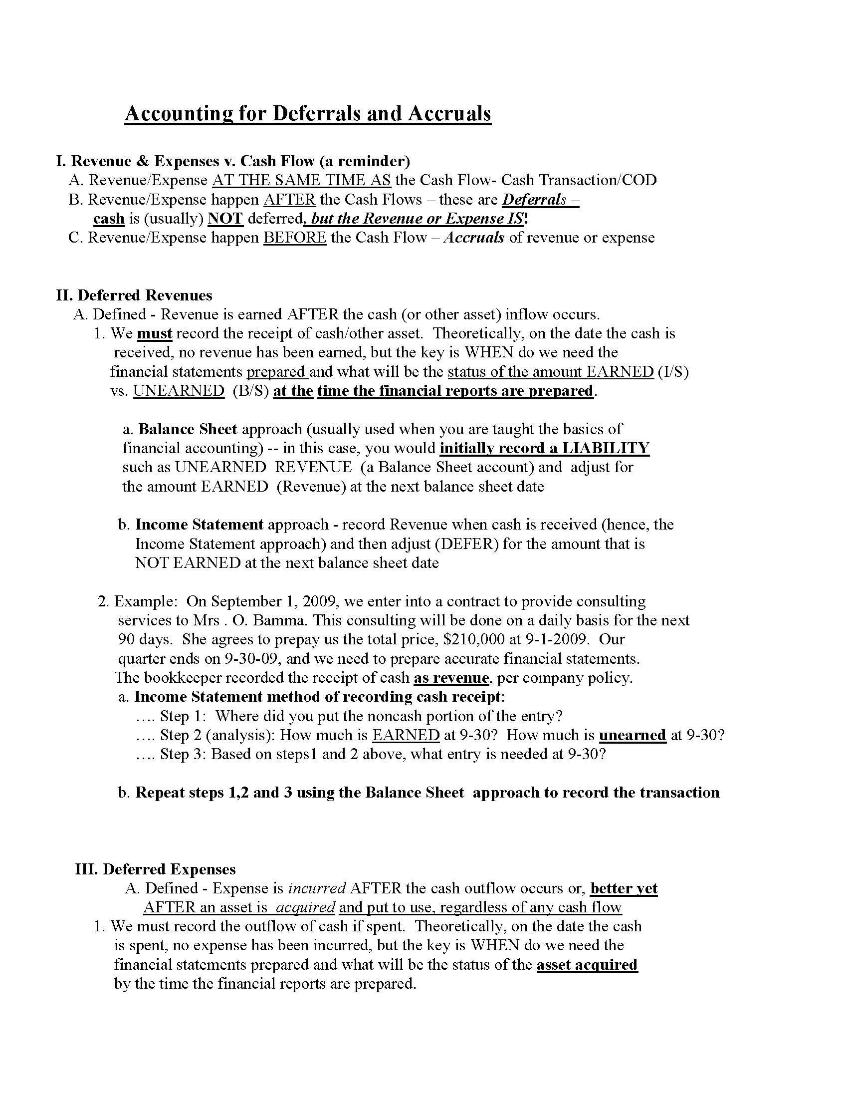
Accounting
24 Classes - 1 Study Materials -
Finance
16 Classes - 3 Study Materials -
Computer Science and Engineering
8 Classes - 1 Study Materials -
Electrical Engineering
31 Classes - 7 Study Materials -
French
7 Classes - 4 Study Materials -
Biology
5 Classes - 4 Study Materials -
Chemistry
41 Classes - 67 Study Materials -
Geoscience
43 Classes - 3 Study Materials -
Social Work
16 Classes - 1 Study Materials -
Sociology
22 Classes - 20 Study Materials -
History
43 Classes - 10 Study Materials -
Computer Information Systems
52 Classes - 3 Study Materials -
General Engineering
19 Classes - 6 Study Materials -
Environmental
2 Classes - 3 Study Materials -
Dental Hygiene
27 Classes - 1 Study Materials -
Teaching & Learning 301 - Learning & Development
1 Classes - 1 Study Materials -
Engineering Chemical
1 Classes - 1 Study Materials -
Business Technology
18 Classes - 6 Study Materials -
Business Management
28 Classes - 4 Study Materials -
Anatomy and Physiology
2 Classes - 2 Study Materials -
Physics
36 Classes - 28 Study Materials -
Academic Skills Courses
9 Classes - 1 Study Materials -
Computer Aided Design
13 Classes - 1 Study Materials -
Medical Lab Science
24 Classes - 1 Study Materials -
Nuclear Engineering
9 Classes - 1 Study Materials -
Robotics and Communication System Engineering Technology
23 Classes - 2 Study Materials -
Biology sci
8 Classes - 2 Study Materials -
Nutrition and Exercise Physiology
1 Classes - 1 Study Materials -
Biological Sci
98 Classes - 5 Study Materials -
English
28 Classes - 2 Study Materials -
Psychology
48 Classes - 39 Study Materials -
Communications
2 Classes - 9 Study Materials
Classes (2060)
-
Bio 5550 | Head and Neck Anatomy
Study Materials -
ANTH 1107 | Nature of Language
Study Materials -
NURS 7723 | Health Promotion and Disease Prevention for Advanced Practice Nurses
Study Materials -
CE 5599 | Bridge Design
Study Materials -
GEOS 5591 | Seminar
Study Materials -
FIN 4451 | Student Managed Investment Fund I
Study Materials -
SPED 3312 | Assistive Technology
Study Materials -
ACCT 5531 | Advanced Tax Concepts
Study Materials -
CEE 6699 | Independent Study
Study Materials -
POLS 4455 | Environmental Politics and Policy
Study Materials -
SPED 6658 | Independent Problems
Study Materials -
CE 3337 | Geotechnical Engineering Laboratory
Study Materials -
ME 8850 | Doctoral Dissertation
Study Materials -
OT 5545 | Psychosocial Function in Occupation Laboratory
Study Materials -
Dea 6609 | Teaching Internship in Deaf Education
Study Materials -
ECE 4429 | Advanced Electronics
Study Materials -
Mas 6614 | Operations Management
Study Materials -
POLS 4405 | Democracy and Governance
Study Materials -
EDUC 2211 | Health Education Methods Elementary
Study Materials -
CS 1181 | Computer Science and Programming I
1 Study Materials -
PHYS 1111 | General Physics
Study Materials -
NURS 6600 | Theoretical Foundations for Nursing Practice
Study Materials -
Sci 4481 | Independent Problems in Radiography
Study Materials -
Com 2205 | Argumentation
Study Materials -
COUN 7705 | Instructional Theory for Counselor Educators
Study Materials -
Com 0111 | Engine Lathe Theory I
Study Materials -
ART 2261 | Introduction to Fiber Media
Study Materials -
INFO 1100 | Fundamental Computer Literacy
Study Materials -
Rob 0383 | Advanced Laser Systems and Optics Theory
Study Materials -
EDUC 1104 | Adaptive Weight Training
Study Materials -
ENGL 1202 | Elementary Speaking and Listening I
Study Materials -
Sci 3330 | Radiographic Exposure
Study Materials -
CS 4492 | Special Problems in Computer Science
Study Materials -
ART 3332 | Intermediate Printmaking
Study Materials -
PCEUT 9927 | Dosage Form Design and Compounding With Lab
Study Materials -
Bio 4481 | Independent Problems
Study Materials -
Med 6650 | Thesis
Study Materials -
His 4418 | United States History for Teachers
Study Materials -
DHYG 4404 | Advanced Clinical Practice II Clinic
Study Materials -
MGMT 3393 | Management Internship
Study Materials -
CE 1120 | Introduction to Engineering
Study Materials -
PCEUT 9930 | Third Year Recitation
Study Materials -
PHYS 4481 | Independent Problems
Study Materials -
Div 5501 | Mindfulness in Health Science
Study Materials -
Phi 4450 | Ethical Theory
Study Materials -
INFO 5592 | Special Problems in Informatics
Study Materials -
His 3308 | Industrialization and Reform in the United States
Study Materials -
NURS 3130 | Adult Health Nursing I
Study Materials -
MUS 3341 | Applied Music Lessons Organ
Study Materials -
THEA 2214 | Makeup
Study Materials






































